歡迎來到初中升學網!
手機版

微信

廣東中職為大家?guī)?023年深圳職業(yè)技術大學3+證書錄取分數線的詳細講解,希望能幫助大家順利備考哦。預祝大家考試成功哦?!?/p>
廣東中職為大家?guī)?023年深圳職業(yè)技術大學3+證書錄取分數線的詳細講解,希望能幫助大家順利備考哦。預祝大家考試成功哦。

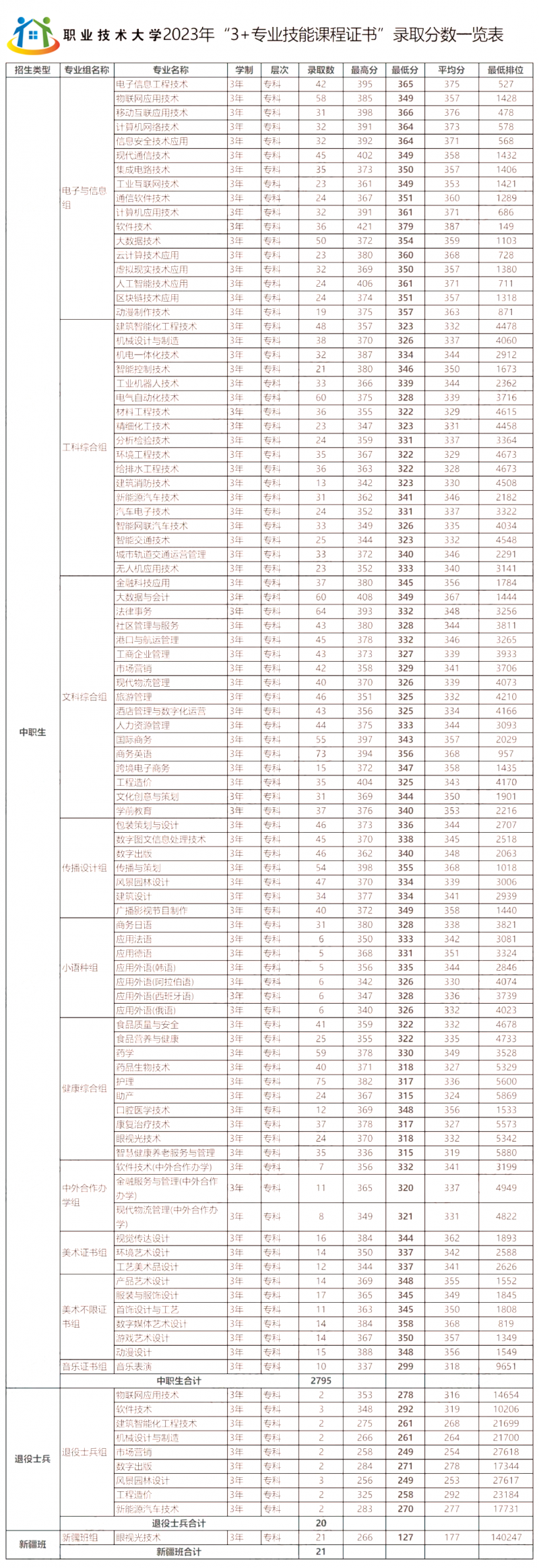
2023年深圳職業(yè)技術大學3+證書錄取分數線
同時,深圳職業(yè)技術大學公布2023年3+證書??聘鲗I(yè)錄取分及排位(注意,是2023年!不是今年!),供考生填志愿參考!

以上就是有關2023年深圳職業(yè)技術大學3+證書錄取分數線的內容,僅供參考,最終情況請以報考當年實際情況為準。更多廣東中職中專技工招生信息、廣東中考資訊,廣東技校資訊,敬請關注廣東初中升學網。
本文標題:2024年深圳職業(yè)技術大學3+證書錄取分數線
本文鏈接:http://m.ulclc.com/zhongzhi/show-htm-itemid-46003.html
2026浙江杭州公辦的中職學校有哪些04-09
2026福建福州公辦的中職學校有哪些04-09